Chapter 1: Introduction Caibidil: Imleabhar 1 » Caibidil 1: Réamhrá Please see attachments Ceangaltáin: fa-file-word Submission to County Development Plan (2) - Dennis N.docx 19.66 KB fa-file-image HCO2 - Denis N.jpg 112.77 KB fa-file-image HCO3 (002) Denis N.JPG 42.99 KB fa-file-image HCO4 (002) - Denis N.JPG 47.63 KB fa-file-image HCO5 (002) Denis N.JPG 43.52 KB fa-file-image HCO6 (002) - Denis N.JPG 50.12 KB fa-file-image HCO7 (002) - Denis N.JPG 37.65 KB fa-file-image HCO8 (002) - Denis N.JPG 29.9 KB fa-file-image HHO1 (002) - Denis N.JPG 54.59 KB fa-file-pdf Scan 27 Jul 1044 (2) - Denis N.pdf 4.02 MB
Chapter 6: Transport and Movement Caibidil: Imleabhar 1 » Caibidil 6 Iompar agus Gluaiseacht TD submission
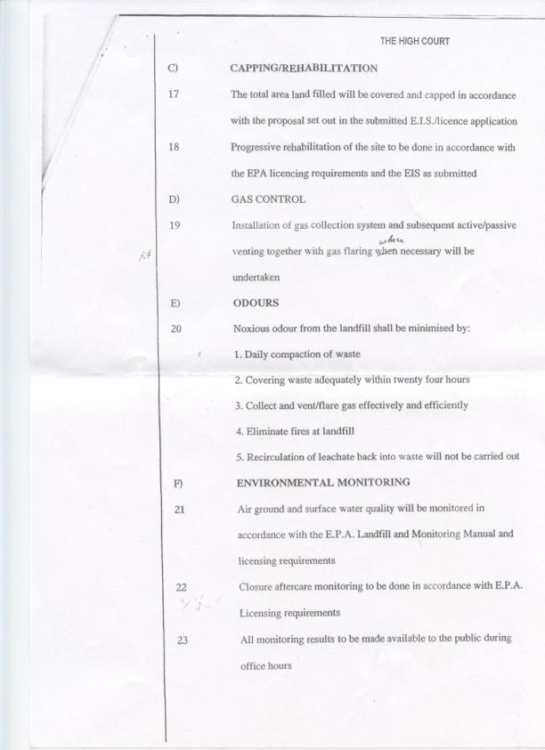
Chapter 7: Infrastructure, Utilities and Environmental Protection Caibidil: Imleabhar 1 » Caibidil 7 Infreastruchtúr, Fóntais & Cosaint n... TD Submission